- PN Junction in Forward Bias

Forward bias에서는 reverse bias와 반대로 전압원을 연결시켜주면 된다. 이렇게 되면 +극은 Hole을 밀어내고 -극은 electron을 밀어내면서 위의 그림과 같이 +에서 -로 전류가 흐르는 상태가 된다.

이때 PN Junction에 흐르는 전류에 대해 알아보고자 한다. 결과적으로 말하면 위 그래프처럼 exponential 형태로 나온다. 전압이 음의 값이면 reverse bias 상태이고 이때의 전류 값은 -Is: Reverse Saturation Current이다. 0 일때는 Equilibrium 상태이다. 양수일 때는 exponential의 꼴로 나온다. 이를 고려하여 전류 값에 대한 식을 세우면 아래와 같다.

이 식에서 Vx는 외부 전압이고 Thermo voltage의 값은 상수다. 그럼 diode의 doping된 concentration이나 다른 특성들은 반영이 안된 식이라는 건가?
당연히 그렇지 않다. 이 모든 값은 Is 값에 반영이 되어 있다.

여기서 A는 전류가 통과하는 면적을 말하고 q는 charge ni는 intrinsic density, Ln 은 Diffusion Length를 말한다. Intrinsic density는 어떤 원소로 doping이 되어 있는지 알아볼 수 있는 값이다. 왜냐하면 intrinsic density는 원소마다 다르기 때문이다. 다시 Ix 식을 생각해보면 Vx의 값이 매우 낮다고 생각하면 1보다 매우 작아서 exp 값을 무시할 수 있다. 그 결과 reverse bias에서 -Is 만큼의 전류가 흐르게 되는 Ix 식이 전체 범위에서 적용됨을 알 수 있다.
- Diode
A two terminal device that carries current when it’s voltage is positive and no current when its volage is negative.
Diode란 PN junction과 같이 두가지 device로 구성되어 있고 양의 전압을 연결하면 전류가 흐르고 음의 전압을 연결하면 전류가 흐르지 않는 기기를 말한다. PN junction은 diode를 만드는 방법중 하나이다.
NOTE)
만약에 forward bias voltage(Vx)의 값이 Thermo voltage의 4배 이상의 값 26*4mV의 값보다 크면 식을 아래와 같이 간단히 생각할 수 있다.

Quiz)

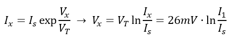
이번에는 전류원을 연결한 상태에서 diode의 전압 값을 알아보려고 한다.

앞서 배운 전류 식을 이용하면 구할 수 있다.
EX)

Ix=1mA로 주어져있고 Is의 값 또한 주어져있으므로 이를 이용하기 위해서 전류에 관한 공식을 전압에 관한 공식으로 바꿔서 계산해주면 된다.


이번에는 전류 값을 10배 상승시키기 위해 전압을 얼만큼 상승시켜야 되는지 알아보려고 한다.

Vf1과 Vf2를 빼면 아래와 같다.

즉 이 문제를 통해서 전류 값을 10배 증가시키려면 전압의 값을 60mV 증가시키면 된다.
이를 그래프로 보면 아래와 같은 그래프가 나온다.

60mV만 상승해도 10배 정도 상승한다. 우리가 앞서 말한 built in voltage의 값이 700mV-800mV 정도 되는데 이는 약 10배 이상의 전류 값을 포함하고 있다.
- Modeling of PN Junction (Diode)
이에 대해 배우기 전에 예시를 하나 보자.

위의 회로에서 Ix의 값을 구하려고 한다. 우선 다이오드 입장에서 Vb가 Forward bias의 꼴로 연결되어 있으므로 D1의 상태를 forward bias로 가정한 후 계산하여 확인해보려 한다. KVL을 이용해 계산하면 식이 아래와 같다.

이를 계산해서 전류 값이 양의 값이 나오면 forward bias라는 우리 가정이 맞다. 하지만 여기서 식의 꼴이 직접 계산하기 어려운 꼴로 만든다. 그래서 우리는 다음에 small signal model에 대해 배워 보려고 한다.
V/R
윤
| Lecture 9. Other Examples, Half Wave Rectifier (0) | 2021.01.09 |
|---|---|
| Lecture 8. Analysis of Diode circuit-2 (0) | 2021.01.08 |
| Lecture 7. Analysis of Diode Circuits 1 (0) | 2021.01.08 |
| Lecture 6. Diode Models (0) | 2021.01.06 |
| Lecture 4. PN Junction in Equilibrium & Reverse bias (0) | 2021.01.05 |
댓글 영역